• Przejdź do treści
Herb

Gminny Ośrodek Pomocy Społecznej w Kuślinie

  • Deklaracja dostępności
  • Kliknij by otworzyć stronę BIP w nowym oknie
Herb
  • Deklaracja dostępności
  • Kliknij by otworzyć stronę BIP w nowym oknie
  • Pomoc Społeczna
  • Świadczenia rodzinne
  • Wsparcie rodziny
  • Inne zadania GOPS
  • Ochrona danych osobowych
  • Kontakt
Strona główna
Aktualności
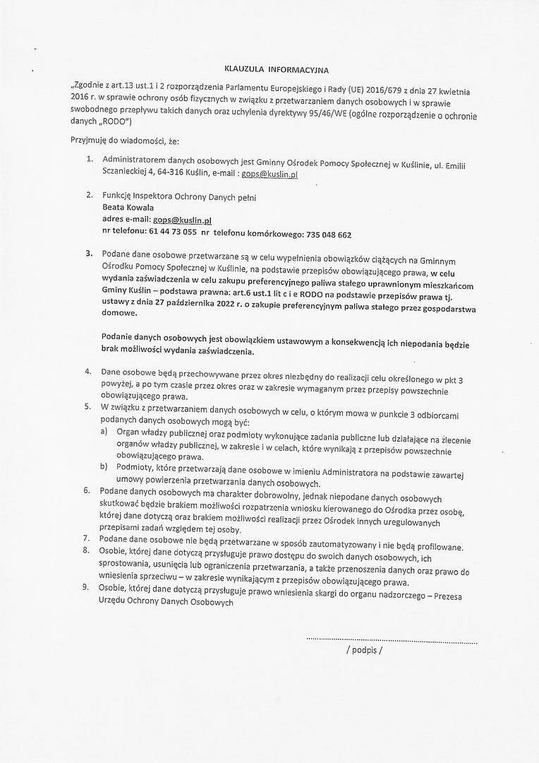
WZÓR WNIOSKU O WYDANIE ZAŚWIADCZENIA...

WZÓR WNIOSKU O WYDANIE ZAŚWIADCZENIA UPRAWNIAJĄCEGO DO ZAKUPU WĘGLA W GMINIE SĄSIEDNIEJ

15 listopada 2022 godz. 14:08
Ilość wyświetleń: 159
Aktualności
Facebook.com X.com

Galeria

  • Poprzedni wpis

    WYDAWANIE ŻYWNOŚCI ZMIANA TERMINU

  • Następny wpis

    WYDAWANIE ŻYWNOŚCI ZMIANA TERMINU

Zobacz również

  • ZAPROSZENIE NA WARSZTATY EDUKACYJNE "SZKOŁA RODZICÓW"
  • Podziękowania i życzenia dla Związku Emerytów, Rencistów i Inwalidów...
  • WYDAWANIE ŻYWNOŚCI ZMIANA TERMINU
zobacz więcej

Dodatkowe informacje

Herb

Gminny Ośrodek Pomocy Społecznej w Kuślinie

Adres

Gminny Ośrodek Pomocy Społecznej w Kuślinie

ul. Emilii Sczanieckiej 6

64-316 Kuślin,

powiat nowotomyski,

województwo wielkopolskie

Kontakt

tel.: 61 44 73 055

e-mail: gops@kuslin.pl

ESP: /GOPS_Kuslin/domyslna

e-Doręczenia: AE:PL-51981-74430-IFIDW-13

Statystyki

Gości obecnie: 1

Odwiedzin ogółem: 99294

Godziny urzędowania GOPS w Kuślinie:

poniedziałek - piątek
7.30 – 15.30

Zobacz również

Copyright © Gminny Ośrodek Pomocy Społecznej w Kuślinie
Realizacja: IDcom.pl